Lompat ke konten Lompat ke sidebar Lompat ke footer

Pertanyaan Sulit Tentang Bea Materai : Contoh Soal Bea Materai Dan Jawabannya - Namun, mulai 1 januari 2021, dengan disahkannya uu bea meterai yang baru, terdapat perubahan tarif.

6.000,00 yang disesuaikan dengan nilai dokumen dan penggunaan dokumen. Selama ini hanya ada dua kelompok meterai, yakni yang bertarif rp 3.000 dan rp 6.000. Pemerintah sedang menyiapkan infrastruktur meterai elektornik, di antaranya. Kesimpulan dari jawaban atas pertanyaan yang dilontarkan, ialah pihak perusahaan menganggap tidak sah suatu akta perjanjian yang dilakukan tanpa menggunakan bea materai.7 berangkat dari latar belakang tersebut, artikel ini akan mengupas aspek urgensi dan eksistensi bea materai pada akta perjanjian dan bagaimana kekuatan hukum meterai dalam akta. Jadi pada dasarnya, bea meterai adalah pajak atau objek pemasukan kas negara yang dihimpun dari dana masyarakat yang dikenakan terhadap dokumen tertentu.

Namun beleid ini menyulut kontroversi dari berbagai pihak. Apa Pendapatmu Tentang Transaksi Di Bursa Terkena Bea Materai 10 Ribu Quora
Apa Pendapatmu Tentang Transaksi Di Bursa Terkena Bea Materai 10 Ribu Quora from qph.fs.quoracdn.net
Dibebaskan dari bea meterai, lalu untuk nilai transaksi diatas rp 5.000.000. 13/1985 tentang bea materai terkait dengan hal pemajakan, pada tahun 2007 diterbitkan aturan perpajakan yang meliputi : 10 tahun 2020 tentang bea materai pada 26 oktober 2020. Luas tanah 1 dan 2 13 000 m 2. Meterai adalah label atau carik dalam bentuk tempel, elektronik, atau bentuk lainnya2 yang memiliki ciri dan mengandung. Peraturan pemerintah nomor 24 tahun 2000 tentang perubahan tarif bea meterai dan besarnya batas pengenaan harga nominal yang dikenakan bea meterai. 10 tahun 2020 tentang bea materai pada 26 oktober 2020. Pemerintah sedang menyiapkan infrastruktur meterai elektornik, di antaranya.

Nilai bea meterai yang berlaku diindonesia saat ini rp.

Pengaturannya adalah bahwa pemateraian kemudian adalah suatu cara pelunasan bea materai yang dilakukan oleh pejabat pos atas permintaan pemegang dokumen yang bea materainya belum dilunasi sebagaimana mestinya. Apalagi kebijakan bakal berlaku mulai 1 januari 2021 atau… Salah satu klien kami yang seorang wna hendak melakukan transaksi jual beli di indonesia dan klien tersebut menunjuk salah satu kantor hukum sebagai kuasanya untuk melakukan transaksi maupun menandatangani dokumen jual/beli. Namun beleid ini menyulut kontroversi dari berbagai pihak. Pengertian bea materai fungsi subjek objek dan tarif bea materai terlengkap bea materai adalah pajak yang dikenakan atas dokumen yang bersifat perdata dan dokumen untuk digunakan di pengadilan. Jika meterai bukan syarat mutlak, lalu untuk apa meterai tetap digunakan dalam perjanjian baik dalam akta otentik maupun dalam perjanjian di bawah tangan. bea meterai adalah pajak yang dikenakan atas dokumen yang bersifat perdata dan dokumen untuk digunakan di pengadilan. Surat kuasa tersebut dibuat di bawah tangan dengan menggunakan meterai indonesia dengan dokumen dikirimkan dari luar negeri ke indonesia. Kata menteri keuangan seri mulyani, beberapa. Artinya memang materai ini sebatas untuk pajak dokumen saja. Dikenakan bea meterai rp 10.000. (2) pelaksanaan ketentuan sebagaimana dimaksud dalam ayat (1) diatur oleh menteri keuangan. Dia menyampaikan pengenaan bea meterai untuk dokumen elektronik belum akan berlaku pada 1 januari 2020.

Peraturan menteri keuangan nomor 90/pmk.03/2005 tentang perubahan atas peraturan menteri keuangan nomor 15/pmk.03/2005 tentang bentuk, ukuran, warna, dan desain meterai tempel tahun 2005. Peraturan menteri keuangan republik indonesia nomor 4/pmk.03/2021 tentang pembayaran bea meterai, ciri umum dan ciri khusus meteraitempel, meterai dalam bentuk lain, dan penentuan keabsahan meterai, serta pemeteraian kemudian. (lihat pasal a angka 1 dan dan 4 uu no. Meterai adalah label atau carik dalam bentuk tempel, elektronik, atau bentuk lainnya2 yang memiliki ciri dan mengandung. Benda materai adalah meterai tempel dan kertas meterai yang dikeluarkan oleh pemerintah republik indonesia.

10 dokumen ini bebas bea materai yang naik jadi rp 10.000 tahun depan. Apa Pendapatmu Tentang Transaksi Di Bursa Terkena Bea Materai 10 Ribu Quora
Apa Pendapatmu Tentang Transaksi Di Bursa Terkena Bea Materai 10 Ribu Quora from qph.fs.quoracdn.net
(lihat pasal a angka 1 dan dan 4 uu no. Namun, mulai 1 januari 2021, dengan disahkannya uu bea meterai yang baru, terdapat perubahan tarif. Padahal, anggapan ini merupakan anggapan yang sangat keliru. Keabsahan suatu perjanjian tidak ditentukan oleh ada tidaknya meterai. Pemerintah sedang menyiapkan infrastruktur meterai elektornik, di antaranya. Berdasarkan pasal 1 ayat (1) uu no. Liputan6.com, jakarta pemberlakuan tarif bea materai rp 10 ribu resmi berlaku mulai 1 januari 2021. Dikenakan bea meterai rp 10.000.

Sedangkan uu no 10 tentang bea meterai tahun 2020 (baru) untuk transaksi dengan nilai nol sampai dengan rp 5.000.000.

Itulah kenaikan tarif bea meterai pada uu baru yang akan berlaku per 1 januari 2020. bea meterai, yang sebelumnya dipatok rp 3.000 dan rp 6.000 kini diubah menjadi satu tarif. Kembali lagi ke masalah meterai. Artinya memang materai ini sebatas untuk pajak dokumen saja. pertanyaan pertama sebenarnya adalah, apa itu meterai? Berdasarkan pasal 1 ayat (1) uu no. 3000,00 dan rp 6.000,00 yang disesuaikan dengan penggunaan dokumen. 13 tahun 1985 tentang bea materai : Tahun depan pemerintah akan menaikkan tarif bea materai menjadi rp 10.000. 11 pertanyaan tentang memahami penggunaan bea materai dan pajak apa saja yang termasuk pajak daerah penguasaanketepatan menjawab pertanyaan tentang bea materai bentuk penilaian: 10 tahun 2020 tentang bea materai pada 26 oktober 2020. Peraturan menteri keuangan republik indonesia nomor 4/pmk.03/2021 tentang pembayaran bea meterai, ciri umum dan ciri khusus meteraitempel, meterai dalam bentuk lain, dan penentuan keabsahan meterai, serta pemeteraian kemudian. Meterai hanya dipergunakan sebagai bukti bahwa anda telah membayar pajak.

Tahun depan pemerintah akan menaikkan tarif bea materai menjadi rp 10.000. Sebelumnya fungsi meterai berdasarkan pasal 1 ayat (1) uu no. Meterai adalah label atau carik dalam bentuk tempel, elektronik, atau bentuk lainnya2 yang memiliki ciri dan mengandung. Apabila anda ingin melakukan transaksi jual beli rumah, alangkah baiknya anda mengenal istilah. pertanyaan pertama sebenarnya adalah, apa itu meterai?

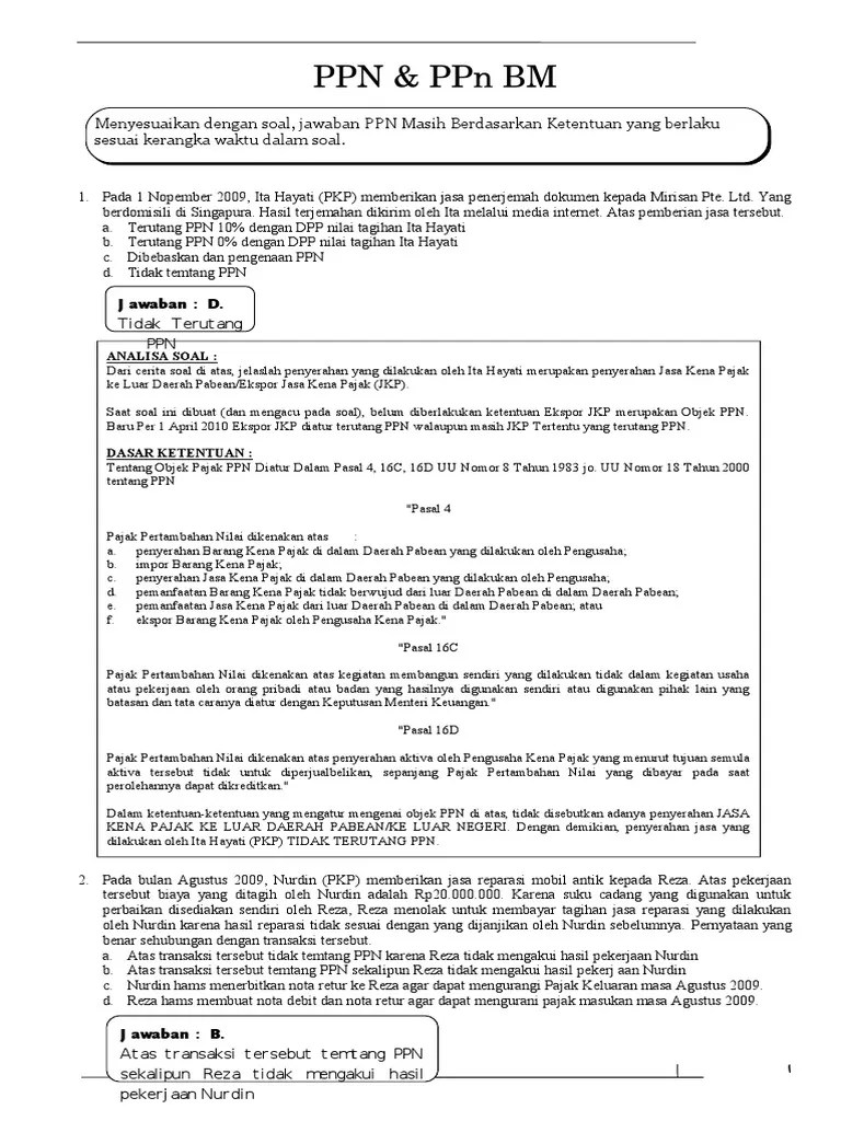
Pemberlakuan tarif bea materai ini mengacu pada ketentuan di dalam uu nomor 10 tahun 2020 tentang bea meterai. Contoh Soal Bea Materai Dan Jawabannya
Contoh Soal Bea Materai Dan Jawabannya from image.slidesharecdn.com
Peraturan pemerintah nomor 24 tahun 2000 tentang perubahan tarif bea meterai dan besarnya batas pengenaan harga nominal yang dikenakan bea meterai. 13/1985 tentang bea materai terkait dengan hal pemajakan, pada tahun 2007 diterbitkan aturan perpajakan yang meliputi : Apa perbedaan wanprestasi dan perbuatan melawan hukum? Yang pasti adalah materai baru ini diatur dalam uu nomor 10 tahun 2020 tentang bea meterai. 10 tahun 2020 tentang bea materai pada 26 oktober 2020. Selama ini hanya ada dua kelompok meterai, yakni yang bertarif rp 3.000 dan rp 6.000. Artinya memang materai ini sebatas untuk pajak dokumen saja. pertanyaan pertama sebenarnya adalah, apa itu meterai?

Tahun depan pemerintah akan menaikkan tarif bea materai menjadi rp 10.000.

Sri mulyani mengatakan pemberlakukan bea meterai ini agar tercipta kesetaraan, baik untuk dokumen elektronik maupun dokumen konvensional dalam pengenaan bea materai. Pengaturannya adalah bahwa pemateraian kemudian adalah suatu cara pelunasan bea materai yang dilakukan oleh pejabat pos atas permintaan pemegang dokumen yang bea materainya belum dilunasi sebagaimana mestinya. Itulah kenaikan tarif bea meterai pada uu baru yang akan berlaku per 1 januari 2020. 13/1985 tentang bea materai terkait dengan hal pemajakan, pada tahun 2007 diterbitkan aturan perpajakan yang meliputi : Salah satu klien kami yang seorang wna hendak melakukan transaksi jual beli di indonesia dan klien tersebut menunjuk salah satu kantor hukum sebagai kuasanya untuk melakukan transaksi maupun menandatangani dokumen jual/beli. Dia menyampaikan pengenaan bea meterai untuk dokumen elektronik belum akan berlaku pada 1 januari 2020. Dibebaskan dari bea meterai, lalu untuk nilai transaksi diatas rp 5.000.000. Namun, mulai 1 januari 2021, dengan disahkannya uu bea meterai yang baru, terdapat perubahan tarif. Padahal, anggapan ini merupakan anggapan yang sangat keliru. 13 tahun 1985 tentang bea materai : Lalu apa sebenarnya fungsi meterai tersebut. Apa perbedaan wanprestasi dan perbuatan melawan hukum? Selain itu, fungsi materai dalam dokumen (termasuk surat kuasa) adalah untuk menerangkan suatu kejadian yang bersifat perdata (perjanjian, kesepakatan, pernyataan.

Pertanyaan Sulit Tentang Bea Materai : Contoh Soal Bea Materai Dan Jawabannya - Namun, mulai 1 januari 2021, dengan disahkannya uu bea meterai yang baru, terdapat perubahan tarif.. "uu ini akan berlaku mulai 1 januari 2021," Pengertian bea materai fungsi subjek objek dan tarif bea materai terlengkap bea materai adalah pajak yang dikenakan atas dokumen yang bersifat perdata dan dokumen untuk digunakan di pengadilan. Jika uu sudah ditetapkan maka peraturan baru akan berlaku. Benda materai adalah meterai tempel dan kertas meterai yang dikeluarkan oleh pemerintah republik indonesia. 3000,00 dan rp 6.000,00 yang disesuaikan dengan penggunaan dokumen.

Posting Komentar untuk "Pertanyaan Sulit Tentang Bea Materai : Contoh Soal Bea Materai Dan Jawabannya - Namun, mulai 1 januari 2021, dengan disahkannya uu bea meterai yang baru, terdapat perubahan tarif."